[ Next Article | Previous Article | Book Contents | Library Home | Legal | Search ]
Commands Reference, Volume 4

rusers Command

Purpose

Reports a list of users logged on to remote machines.

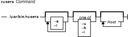
Syntax

/usr/bin/rusers -a ] [ -l ] [ -u -h -i ] [ Host ...]

Description

The rusers command produces a list of users who are logged on to remote machines. The rusers command does this by broadcasting to each machine on the local network and printing the responses it receives. Normally, the system prints the responses in the order they are received. To change this order, specify one of the flags. In addition, when you provide a Host parameter, the rusers command queries the host or hosts you specify, rather than broadcasting to all hosts.

By default, each entry contains a list of users for each machine. Each of these entries includes the names of all users logged in that machine. In addition, when the user does not type into the system for a minute or more, the rusers command reports the user's idle time.

A remote host responds only if it is running the rusersd daemon, which is normally started up from the inetd daemon.

Note: Broadcasting does not work through gateways. Therefore, if you do not specify a host, only hosts on your network can respond to the rup command.

Flags

-a Gives a report for a machine even if no users are logged in.
-h Sorts alphabetically by host name.
-i Sorts by idle time.
-l Gives a longer listing similar to the who command.
-u Sorts by number of users.

Examples

  1. To produce a list of the users on your network that are logged in remote machines, enter:
    rusers
  2. To produce a list of users sorted alphabetically by host name, enter:
    rusers -h
  3. To produce a list of users on a host, enter:
    rusers -h pluto
    In this example, the rusers command produces a list of users on the host named pluto.
  4. To produce a list of users logged in remote machines and sorted according to each machine's length of idle time, enter:
    rusers -i 
  5. To produce a list of users logged in remote machines and sorted by the number of users logged in, enter:
    rusers -u 

Files

/etc/inetd.conf
                          TCP/IP configuration file that starts RPC daemons and other TCP/IP daemons.

Related Information

The rwho command, who command.

The inetd daemon, rusersd daemon.

Network File System (NFS) Overview for System Management in AIX Version 4.3 System Management Guide: Communications and Networks.

List of NFS Commands.


[ Next Article | Previous Article | Book Contents | Library Home | Legal | Search ]